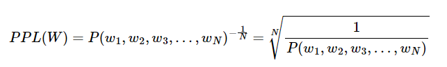
펄플렉서티(Perplexity, PPL)
- 언어 모델의 평가 방법
- perplexed : 헷갈리는. PPL : 헷갈리는 정도
- PPL이 낮을수록 언어 모델의 성능이 좋다
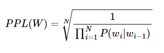
- 문장의 길이로 정규화된 문장 확률의 역수
N : 문장 W의 길이



- PPL은 이 언어 모델이 특정 시점에서 평균적으로 몇 개의 선택지를 가지고 고민하는지를 의미
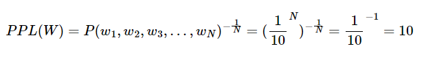
- ex)
PPL = 10 : 다음 단어를 예측하는 모든 시점마다 평균 10개의 단어를 가지고 어떤 것이 정답인지 고민
다음 단어를 예측하는 모든 시점마다 1/10 확률
PPL이 작다면 이 확률이 줄어들어서 성능이 좋은 것!

- PPL이 낮다는 건 테스트 데이터 상에서 높은 정확도를 보인다는 뜻
- 사람이 직접 느끼기에 좋은 언어모델이라는 걸 바드시 의미하지는 않음
- 도메인에 알맞은 동일한 테스트 데이터를 사용해야 신뢰가 높
'Python > NLP' 카테고리의 다른 글
| 순환 신경망(RNN) (0) | 2023.03.14 |
|---|---|
| 피드 포워드 신경망 언어 모델(NNLM) (0) | 2023.03.14 |
| N-gram 언어 모델 (0) | 2023.03.14 |
| 언어 모델 - 통계적 언어 모델 (0) | 2023.03.14 |
| 정제, 정규화 (0) | 2023.02.19 |